热文关注:
涨知识:你知道常用的地球半径差异符号表达式有哪些吗?
地球半径是测量和地球科学计算中最常用的基本参数,根据地球科学、空间科学、导航定位的要求和某些需求,常用到平均曲率半径、平均球半径、等距离球半径、等面积球半径和等体积球半径这5种地球半径。随着空间技术和计算机技术在大地测量及地图学中的应用和发展,研究常用地球半径间的关系及它们之间的差异问题具有更加重要的实用价值。对于这一问题,国内外许多学者进行了研究,取得了显著成果。文提出使用不同的球体半径表示球体特性,将不同球体半径代入克拉索夫斯基椭圆参数求得数值解,再代入球体面积公式,求得不同半径下大圆航线长度和角度变形大小,发现使用等角球半径计算大圆航线可以满足航海使用精度要求。文献将子午圈曲率半径和卯酉圈曲率半径展为大地纬度的幂级数,并且借助辅助函数V导出了不同形式的平均曲率半径展开式。文献中利用等距离球半径和等面积球半径,推导出常用纬度函数应用于求解地图投影变换,提出了变系数线性插值方法,解决了测量和地图学中所要求的计算精度问题。文献利用球体半径和计算机代数系统对大地测量学和地理信息系统中的问题进行了研究。
从目前来看,前人对这一领域作了很多卓有成效的工作,但主要是针对其中一种或几种地球半径进行计算和应用,多是对等角纬度、等面积纬度及等距离纬度的计算与分析[10-15],很少有文献将这几种常用的地球半径间的差异在符号和数值上进行系统的比较。计算机代数系统可以将基本的数学公式展开成幂级数形式,推导出的公式相对于人工计算具有更高的精确度。为丰富对这一问题的研究,使人们对这几种常用地球半径形成较直观的认识,本文着重研究了常用地球半径间的差异问题,推导出了常用地球半径间差异符号表达式,最后以CGCS2000参考椭球[20]为例,对常用地球半径间的差异进行了数值分析和比对,发现平均球半径和等体积球半径在等面积地图投影中可以对等面积球半径进行替换。
1 常用地球半径定义
平均曲率半径Ra常用于制作地球表面上局部地区地图[21],也可以取制图区域中心点,记椭球偏心率为e,则它关于大地纬度B的表达式

就地球总体而言,平均球半径(取地球椭球三轴半轴长的算术平均值,用于简单决定球半径)[22]、等面积球半径(保持球体表面积等于地球椭球面相应全面积而决定的球半径,主要用于等面积投影)[23]、等距离球半径(使球面经线总长等于地球椭球面经线总长而决定的球半径,主要用于等距离投影中)[24]和等体积球半径(使地球球体的体积等于地球椭球体的体积来决定的球半径)的表达式与大地纬度B无关,只取决于地球椭球模型的参数a、e,其表达式为

式中, Re表示平均球半径;RF表示等面积球半径;RS表示等距离球半径;RV表示等体积半径。
2 常用地球半径间的差异符号表达式
由于5种常用地球半径具有一定差异,在实际应用中会用到它们的差值表达式。为了解常用地球半径间的差异情况,特别是差异最值点及其对应差异最值,可基于它们之间的差值表达式推导出其差异符号表达式。
2.1 平均曲率半径与4种常用球体半径间的差异符号表达式
通过对平均曲率半径与4种常用球体半径的表达式进行分析,即可推算出其差异符号表达式。以平均球半径为例

。。。。
并以CGCS2000椭球为例对它们进行了数值分析和比对,得出如下结论。
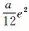
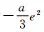
(1) 平均曲率半径与4种常用球体半径差异值随大地纬度的增大而增大,差异绝对值随大地纬度的增大先减小后增大,在某一个特定点处差异值为0。其中,当B取
时,存在差异最大值,平均曲率半径与等距离球半径间差异最大,差异最大符号表达式的首项为
;B取0时,存在差异最小值,平均曲率半径与平均球半径间差异值最小,最小值符号表达式的首项为
。
(2) 平均曲率半径是微观上的平均值,是随着大地纬度B逐点变化的;4种常用球体半径是宏观意义上的地球球体上的平均值,与大地纬度B无关。平均曲率半径与4种常用球体半径除在特殊点等价外,其余点无法进行相互代替应用。
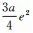
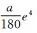
(3) 4种常用球体半径间,平均球半径和等面积半径间的差异绝对值最小,绝对值最小符号表达式的首项为
;平均球半径和等距离半径之间的差异绝对值最大,绝对值最大值符号表达式的首项为
。等距离球半径与其余3种地球半径差异较大,不能相互替代;平均球半径和等体积球半径与等面积球半径之间差异较小,在实际应用过程中可以用平均球半径和等体积球半径来替代等面积球半径。
(4) 将常用地球半径间差异值表示为符号形式,并统一展开为偏心率e的幂级数形式,该表达式易于比较分析,一定程度上丰富了测量及地图学数学分析理论。
注:以上内容来源于《测绘学报》《宗敬文:常用地球半径差异符号表达式》一文,本文节选了部分内容。全文请查看原文献。
根据《人力资源社会保障部办公厅关于2019年度专业技术人员资格考试计划及有关事项的通知》,2019年注册测绘师考试时间是2019年9月7日—8日。
热点关注:
(责任编辑:gx)